解决方案
SOLUTION

时间: 2025-10-11
浏览量: 308
一,导言
许多MEMS器件的运作原理都依赖热效应:例如热成像仪、热致动微镜、原子力显微镜悬臂梁。在其他情况下,热现象作为寄生效应必须消除以确保传感器正常工作,但也可用于测试目的。无论是哪种情况,在设计阶段都需要建立考虑热行为的模型。在悬臂梁、桥式结构或膜片等CMOS悬空结构中,通常采用多品硅压阻应变片来检测结构应力。通过这种方式,可以测量施加在框架上的力。然而,若元件在结构中散热,可能会观察到基于热效应的现象。首先,应变片对温度敏感:其次,构成机械框架的结构材料具有不同的热膨胀系数。因此,温度变化会导致框架弯曲,而由此产生的应力会被应变片检测到。
本文提出了一种考虑热效应的CMOS磁力计模型。该模型经过硅基器件验证,证实可利用热寄生信号检测机械框架的完整性。测试流程主要通过观察结构温度是否正常、能否通过热刺激驱动结构来实现。实验验证表明,这种结构测试能有效检测欠蚀刻缺陷及传感器可能存在的重大故障。其核心优势在于低成本特性--校准后的激励信号通过电学方式生成,既可用标准测试设备实现,也可直接在芯片上完成。本研究成功实现了无需磁场即可测试磁力计,该方法还可方便地集成到自检测试(BIST)系统中。
通过这种方式在传感器设计中发挥功能,从而降低测试设备的成本。值得注意的是,在大多数CMOSMEMS器件中,由于蚀刻硅层留下的大间隙,无法使用静电作用进行测试,因此电致热刺激成为一种很好的替代方案。
本文结构安排如下:首先介绍传感器背景噪声,接着研究热耦合效应,并建立考虑这些因素的模型,通过硅材料验证其有效性。最后一节探讨测试应用时需考虑的欠蚀刻缺陷问题,通过故障模拟结果与实验数据对比分析,证实热刺激技术适用于检测此类缺陷。
二,背景
A.技术与传感原理
本研究的MEMS磁力计采用U型机械框架设计,如图1所示,该框架通过两个锚固点与芯片连接。其工作原理基于待测磁场B与框架内嵌平面线圈中已知电流1之间的相互作用,由此产生的洛伦兹力驱动结构运动。通过嵌入式压阻式应变片测量锚固点附近结构产生的应力变化。这些应变片被置于惠斯通电桥中,基板上方配置的两个参考电阻将电阻变化转换为电压信号。

图1U形悬臂:(a)示意图和(b)SEM照片
该U型结构采用前侧体微加工MEMS工艺制备而成。该工艺基于标准0.8mm mCMOS制程,通过湿法刻蚀获得的品粒可释放由CMOS工艺后端层构成的悬空机械结构。器件实验表征表明,该机械结构具有二阶低通系统特性,并表现出第一共振模式。
该传感器的工作频率约为22.5千赫兹,品质因数高达约100。显然,要获得最佳灵敏度,必须在该特定谐振频率下驱动结构以充分利用高品质因数的优势。因此,传感器的工作模式采用在机械谐振频率下向铝线圈施加交流偏置电流I的方式:随后通过惠斯通电桥输出端产生的交流电压,经调理电路处理后即可提取磁场信号。
B. 机械建模
传感器的机械模型如图2所示。
当前的电流I由外加电压Uf产生。悬臂梁的机械行为可通过电路领域中的二阶电路进行描述,该电路包含与悬臂梁弹簧参数(K)、质量参数(M)和阻尼参数(D)相对应的电感、电容和电阻元件。洛伦兹力作用于悬臂梁末端。位移量z与等效静力Fe之间的关系可表示为:Fe/K,而测量式中电阻的相对变化则由以下公式给出:

(1)其中Kg表示取决于多晶硅的ARIR=Kgxz

图2机械模型等效电路

表1设计参数和理论传感器参数
压阻、几何形状和悬臂梁的弹簧常数的量纲系数。
三,实验
A 传感器对热刺激的实验响应
流入悬臂线圈的激励电流I会耗散焦耳功率。由于悬臂线被悬置于一个较大的腔体中,其与外界的热隔离特性基底温度较高,导致结构温度上升,这将产生以下两个后果:
第一个效应是温度对电极的直接影响。由于电极具有热敏特性,其电阻值会发生变化。当参考电阻被安装在作为散热器的基板上时,其电阻值保持恒定。这样一来,惠斯通电桥就会失衡,从而在其输出端感应出电信号:
第二个后果是悬臂的热致动,因为悬臂由几种热膨胀系数不同的材料组成。当悬臂被激活时,压阻式传感器中会产生应力,从而导致不平衡的惠斯通电桥和电信号输出。
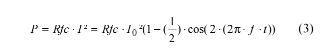
这两种现象可通过设备的谐波响应进行实验观测(图3)。若在绕组上施加差分正弦波电压,对应的激励电流I等于:

由此在绕组中耗散的功率为:

其中RR是位于结构顶部的线圈R的电阻部分,因此参与温度变化。随后,耗散功率由静态功率耗散和频率为输入电压两倍的正弦波功率耗散组成。

图3热刺激的实验谐波响应:热致动引起的峰值的放大视图
在12千赫处出现一个峰值,该频率为悬臂梁谐振频率的一半。这个峰值明显对应悬臂梁在机械共振时的热致驱动现象。除该峰值附近区域外,测量信号源于测温仪的灵敏度特性,其与温度变化呈线性关系。该响应特性可近似为一阶系统响应,且完全由下表参数表征。

表2实验谐波响应结果
B. 热行为建模
为计算悬臂梁在特定功率耗散下的温度,我们假设对流和辐射现象与沿梁的热传导相比可以忽略不计。此外,考虑到结构的几何特性,y和z方向上的温度梯度可忽略不计。此时系统等效于图4所示的纵向梁结构。我们用T(x)表示位置x处的温度升高(相对于环境温度)。由于基板起到热阱作用,该位置的温度为零。

图4悬臂的一维示意图
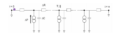
当整个悬臂梁发生功率耗散时,解决这一问题的便捷方法是构建一个分布式热模型(图5),并采用等效电路进行模拟。该梁体被划分为n个区域,每个区域包含电源(△P)、热阻(△R)和热容(△C),分别对应局部功率耗散、梁体热传导以及待加热区域的体积。系统的输入端是总耗散功率Pf,输出端则是各节点的温度值。

图5分布式热力模型
该模型可以很容易地在仿真工具中使用混合HDL语言实现。它可以作为n的函数自动生成,参数计算如:

其中W i、ei、Kⅰ;和Cⅰ;分别是各材料i的宽度、厚度、导热系数和比热容(数值取自[9])。显然,参数的取值必须足够大才能获得精确的仿真结果。我们通过计算发现,当n取值为39时,最大温度估计误差小于0.5%。该模型能够通过仿真实现温度计的温度估算。由于温度计尺寸远小于悬臂梁,可假设单个温度计的平均温度(Tg)与其中心温度一致。基于结构对称性,在n=39时两个温度计的温度相等,即Tg-T[4]T[35]。图6展示了考虑温度均值Tg时系统的谐振响应曲线。

图6采用分布式模型进行的诺波响应模拟
再一次,系统可以近似为一阶系统,我们可以引入图7所示的紧凑型热加热模型,在该模型中,等效热阻(Rt)和电容(Ct)的定义如下:

其中,Fc是-3dB截止频率。

图7热加热等效电路
这些参数的理论值和实验值总结在表3中。实验值是根据表2计算得出的。值得注意的是,所提出的模型还通过红外图像[10]进行了验证。

表3Rth和Cth的理论值与实验值
C.热诱导电信号的建模
正如实验所观察到的,悬臂中的温度变化会导致两种现象。温度对传感器输出信号的直接影响是由于热敏电阻(多品硅热敏电阻为Kt=0.9.10”)的热敏性,这将热敏电阻的相对电阻变化与温度相关联:

另一种效应源于热致驱动机制。如文献[11]所述并通过实验验证,热膨胀会在结构末端产生一个等效作用力(Fth),其大小与结构温度成正比。通过使用Kd系数可将Fth与玻璃化转变温度(Tg)建立如下关系:
Fth Kd.Tg(10)该作用力会产生悬臂末端的z方向位移。脱离共振状态后,这种热致形变产生的弯曲形状与磁致形变不同。在热致动的情况下,曲率在未端达到最大值。
在U形框架结构中(温度达到最大值的位置),而磁驱动情况下,曲率最大值出现在安装传感器的锚固点处[11]。不过当悬臂梁处于基频共振状态时,其形变与驱动源无关。因此,当热信号频率与机械共振频率相等时,连接电阻变化与末端位移的公式(1)仍然成立。由于热驱动现象仅在共振状态下被实验观测到,模型中必须考虑共振时的Kd值。
D. 完整模型
在完整的传感器模型的等效电路中(图8),施加在悬臂末端的力是磁力和热力的总和。压阻效应和热敏效应共同导致了测量电阻的变化。

图8传感器完整模型
Kd是通过拟合热致驱动模拟产生的峰值与图3的实验响应进行经验计算得出的。最终,该模型已通过硅材料验证(图9)

图9实际县臂梁与模型的谐波响应
免责申明:所有信息均源于网络,相关内容仅供参考学习,所有转载及汇编内容,均不代表本网站赞同其观点,不能完全保证其真实性。如若本公众号无意侵犯媒体或个人知识产权,请私信联系,我们将立即予以删除。